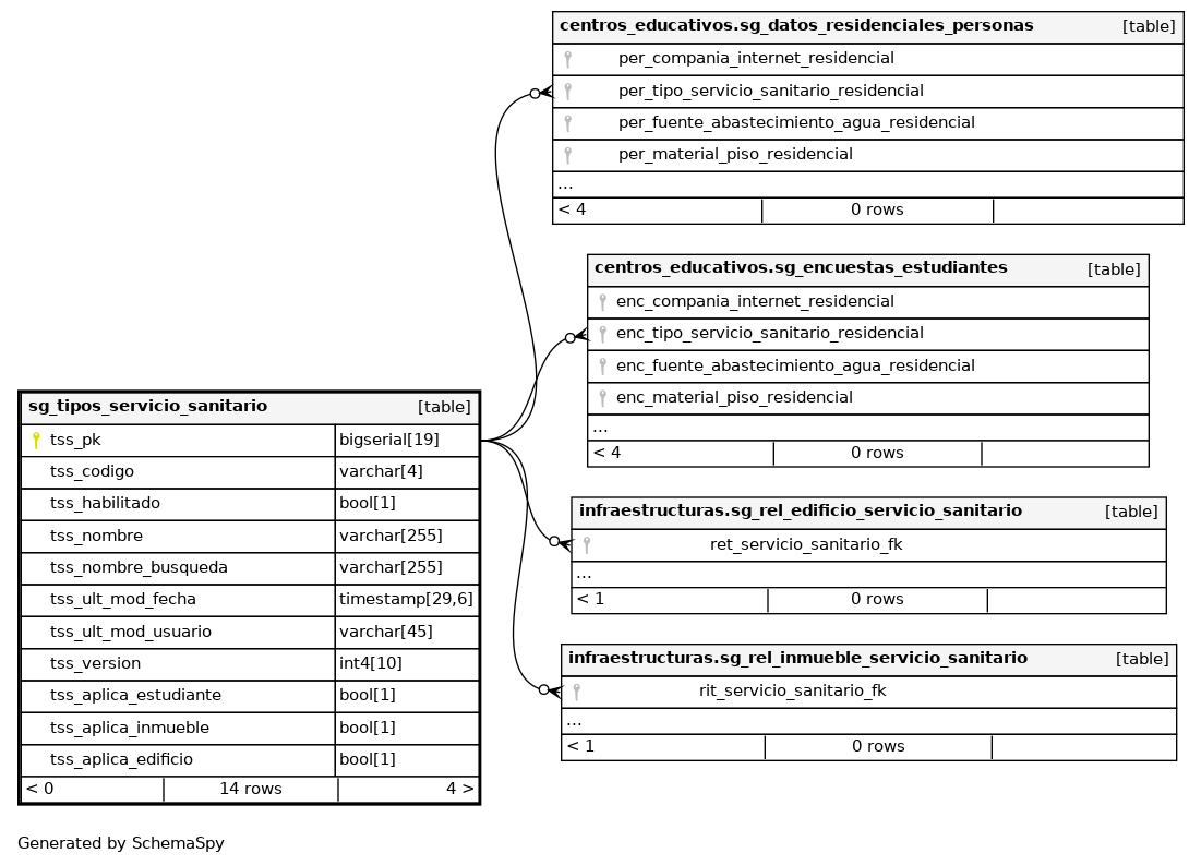
Columns
| Column | Type | Size | Nulls | Auto | Default | Children | Parents | Comments | ||||||||||||
|---|---|---|---|---|---|---|---|---|---|---|---|---|---|---|---|---|---|---|---|---|
| tss_pk | bigserial | 19 | √ | nextval('catalogo.sg_tipos_servicio_sanitario_tss_pk_seq'::regclass) |
|
|
Número correlativo autogenerado. |
|||||||||||||
| tss_codigo | varchar | 4 | √ | null |
|
|
Código del registro. |
|||||||||||||
| tss_habilitado | bool | 1 | √ | null |
|
|
Indica si el registro se encuentra habilitado(true) o inhabilitado(false). |
|||||||||||||
| tss_nombre | varchar | 255 | √ | null |
|
|
Nombre del registro. |
|||||||||||||
| tss_nombre_busqueda | varchar | 255 | √ | null |
|
|
Nombre del registro normalizado para búsquedas. |
|||||||||||||
| tss_ult_mod_fecha | timestamp | 29,6 | √ | null |
|
|
Última fecha en la que se modificó el registro. |
|||||||||||||
| tss_ult_mod_usuario | varchar | 45 | √ | null |
|
|
Último usuario que modificó el registro. |
|||||||||||||
| tss_version | int4 | 10 | √ | null |
|
|
Versión del registro. |
|||||||||||||
| tss_aplica_estudiante | bool | 1 | √ | null |
|
|
Registro aplica a estudiante. |
|||||||||||||
| tss_aplica_inmueble | bool | 1 | √ | null |
|
|
Registro aplica a inmueble. |
|||||||||||||
| tss_aplica_edificio | bool | 1 | √ | null |
|
|
Registro aplica a edificio. |
Indexes
| Constraint Name | Type | Sort | Column(s) |
|---|---|---|---|
| sg_tsso_pkey | Primary key | Asc | tss_pk |
| tss_codigo_uk | Must be unique | Asc | tss_codigo |
| tss_nombre_uk | Must be unique | Asc | tss_nombre |

