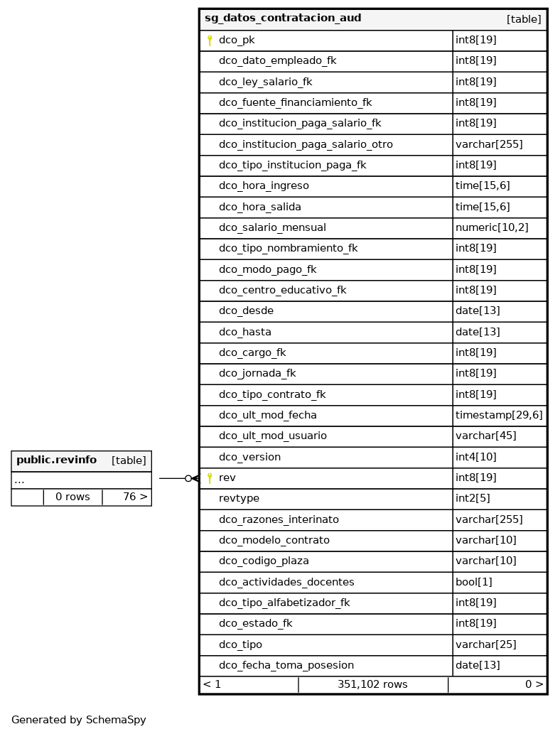
Columns
| Column | Type | Size | Nulls | Auto | Default | Children | Parents | Comments | |||
|---|---|---|---|---|---|---|---|---|---|---|---|
| dco_pk | int8 | 19 | null |
|
|
||||||
| dco_dato_empleado_fk | int8 | 19 | √ | null |
|
|
|||||
| dco_ley_salario_fk | int8 | 19 | √ | null |
|
|
|||||
| dco_fuente_financiamiento_fk | int8 | 19 | √ | null |
|
|
|||||
| dco_institucion_paga_salario_fk | int8 | 19 | √ | null |
|
|
|||||
| dco_institucion_paga_salario_otro | varchar | 255 | √ | null |
|
|
|||||
| dco_tipo_institucion_paga_fk | int8 | 19 | √ | null |
|
|
|||||
| dco_hora_ingreso | time | 15,6 | √ | null |
|
|
|||||
| dco_hora_salida | time | 15,6 | √ | null |
|
|
|||||
| dco_salario_mensual | numeric | 10,2 | √ | null |
|
|
|||||
| dco_tipo_nombramiento_fk | int8 | 19 | √ | null |
|
|
|||||
| dco_modo_pago_fk | int8 | 19 | √ | null |
|
|
|||||
| dco_centro_educativo_fk | int8 | 19 | √ | null |
|
|
|||||
| dco_desde | date | 13 | √ | null |
|
|
|||||
| dco_hasta | date | 13 | √ | null |
|
|
|||||
| dco_cargo_fk | int8 | 19 | √ | null |
|
|
|||||
| dco_jornada_fk | int8 | 19 | √ | null |
|
|
|||||
| dco_tipo_contrato_fk | int8 | 19 | √ | null |
|
|
|||||
| dco_ult_mod_fecha | timestamp | 29,6 | √ | null |
|
|
|||||
| dco_ult_mod_usuario | varchar | 45 | √ | null |
|
|
|||||
| dco_version | int4 | 10 | √ | null |
|
|
|||||
| rev | int8 | 19 | null |
|
|
||||||
| revtype | int2 | 5 | √ | null |
|
|
|||||
| dco_razones_interinato | varchar | 255 | √ | null |
|
|
|||||
| dco_modelo_contrato | varchar | 10 | √ | null |
|
|
|||||
| dco_codigo_plaza | varchar | 10 | √ | null |
|
|
|||||
| dco_actividades_docentes | bool | 1 | √ | null |
|
|
|||||
| dco_tipo_alfabetizador_fk | int8 | 19 | √ | null |
|
|
|||||
| dco_estado_fk | int8 | 19 | √ | null |
|
|
|||||
| dco_tipo | varchar | 25 | √ | null |
|
|
|||||
| dco_fecha_toma_posesion | date | 13 | √ | null |
|
|
Indexes
| Constraint Name | Type | Sort | Column(s) |
|---|---|---|---|
| sg_datos_contratacion_aud_pkey | Primary key | Asc/Asc | dco_pk + rev |

