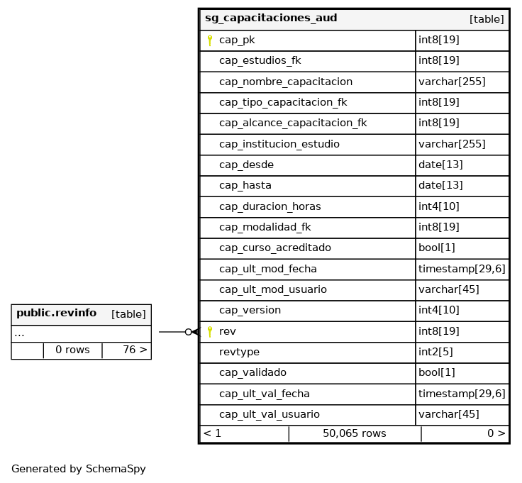
Columns
| Column | Type | Size | Nulls | Auto | Default | Children | Parents | Comments | |||
|---|---|---|---|---|---|---|---|---|---|---|---|
| cap_pk | int8 | 19 | null |
|
|
||||||
| cap_estudios_fk | int8 | 19 | √ | null |
|
|
|||||
| cap_nombre_capacitacion | varchar | 255 | √ | null |
|
|
|||||
| cap_tipo_capacitacion_fk | int8 | 19 | √ | null |
|
|
|||||
| cap_alcance_capacitacion_fk | int8 | 19 | √ | null |
|
|
|||||
| cap_institucion_estudio | varchar | 255 | √ | null |
|
|
|||||
| cap_desde | date | 13 | √ | null |
|
|
|||||
| cap_hasta | date | 13 | √ | null |
|
|
|||||
| cap_duracion_horas | int4 | 10 | √ | null |
|
|
|||||
| cap_modalidad_fk | int8 | 19 | √ | null |
|
|
|||||
| cap_curso_acreditado | bool | 1 | √ | null |
|
|
|||||
| cap_ult_mod_fecha | timestamp | 29,6 | √ | null |
|
|
|||||
| cap_ult_mod_usuario | varchar | 45 | √ | null |
|
|
|||||
| cap_version | int4 | 10 | √ | null |
|
|
|||||
| rev | int8 | 19 | null |
|
|
||||||
| revtype | int2 | 5 | √ | null |
|
|
|||||
| cap_validado | bool | 1 | √ | null |
|
|
|||||
| cap_ult_val_fecha | timestamp | 29,6 | √ | null |
|
|
|||||
| cap_ult_val_usuario | varchar | 45 | √ | null |
|
|
Indexes
| Constraint Name | Type | Sort | Column(s) |
|---|---|---|---|
| sg_capacitaciones_aud_pkey | Primary key | Asc/Asc | cap_pk + rev |

